论文简介
北斗卫星导航系统(BDS)的地球静止轨道(GEO)卫星是其独有短报文通信能力的核心载体,为无地面通信覆盖区域提供关键信息传输保障;而倾斜地球同步轨道(IGSO)卫星则与GEO协同,显著增强区域高精度定位性能,是支撑其全球服务与独有短报文通信、国际搜救等特色功能的核心。然而,这些卫星需频繁执行轨道保持机动以对抗地球非球形引力引起的共振漂移。由于机动期间的推力参数不公开,导致国际主流分析中心无法提供精密星历,广播星历也被标记为“不可用”,严重威胁系统服务连续性与可靠性,尤其在应急救灾等关键场景下后果不堪设想。
针对这一“卡脖子”难题,同济大学GNSS团队提出了一套全自动的轨道机动检测与推力建模框架,成功实现了对北斗GEO/IGSO卫星轨道机动的高精度反演与建模。研究亮点与核心突破:
1.全自动、高精度的机动检测。利用三差相位残差梯度分析,可自动、精准地识别出机动的起止时刻。
2.揭示北斗不同代际卫星的机动规律。基于2020–2023年四年的数据分析,首次系统性揭示了BDS-2与BDS-3卫星的显著差异:1)BDS-2:GEO卫星平均每年机动约12次、单次持续10–30分钟,IGSO卫星每年约2次、持续时间类似;2)BDS-3:机动模式发生变化,变为超快速脉冲式,GEO卫星轨道面办机动仅需~1.5分钟,IGSO卫星约~2.5分钟,推力幅值更高。
3.建立两类高保真推力模型。针对上述规律,团队建立了两种专用推力模型:1)分段线性(PWL):适用于BDS-2的渐进式机动及BDS-3的GEO面外机动;2)三角脉冲(Tri):专为BDS-3的超快速机动设计,能精准刻画其瞬时推力特性。
4.可实现分米级轨道恢复。验证结果表明,该框架在标准机动场景下,单机动弧段切向和法向的运动学轨道拟合精度可达厘米级;即使在极端的GEO面外机动情况下,仍能保持分米级精度。长弧段(24小时)轨道拟合结果进一步验证了该框架在连续动力学轨道恢复方面的有效性。

该成果以“Automatic Orbit al Maneuver Detection and Thrust Model Establishment for Beidou GEO/IGSO Satellites”为题,发表于国际大地测量领域权威期刊《GPS Solutions》。论文第一作者为乔晶副教授,第二作者为硕士生徐桦,通讯作者为李博峰教授。该研究受到国家自然科学基金、上海市教委创新计划等项目的资助。
主要内容
Ⅰ 机动探测与推力建模方法
首先,通过对观测值的三差残差分析来检测主要机动窗口,利用残差梯度特征自动识别起始/结束时刻。然后,采用改进的几何法定轨方法,将几何轨道与广播星历轨道对比,以提取推力。最后,基于大量机动分析建立合适的推力模型,通过轨道拟合迭代方法自适应确定推力转折点。

图1 机动探测与推力建模流程图
Ⅱ 实验结果
对2020年至2023年四年间的所有的北斗GEO和IGSO卫星进行了机动探测并建立了推力模型,结果如下:
(1)机动频率和时长
GEO卫星每年执行9至17次面内机动,平均间隔约为30天。相比之下,IGSO的面外机动频率显著更低,每年仅为1至5次,平均间隔约为170天。北斗二号机动通常持续10至30分钟,而北斗三号机动则呈现脉冲式特征,GEO卫星机动时长约为1.5分钟,IGSO卫星约为2.5分钟。GEO面外机动每6至24个月才发生一次,但持续时间较长,可达1至2小时。

图2 2020-2023年北斗卫星机动和广播星历异常
(2)机动加速度
北斗二号机动推力符合分段线性特征,首先是推力逐渐增加的初始阶段,然后过渡到持续的推力稳定阶段,最后是推力逐渐减小的终止阶段。北斗三号机动的推力持续时间明显更短,缺乏持续的稳定阶段,且具有突发的快速上升和截止特征。GEO面外机动保持了标准机动中观察到的分段线性特征。




图3 北斗卫星机动推力加速度
(3)推力模型
基于加速度特征,提出了两种针对不同北斗卫星型号和机动类型的通用推力模型。
a.分段线性模型(PWL)



b.三角形模型(Tri)



Ⅲ 模型验证
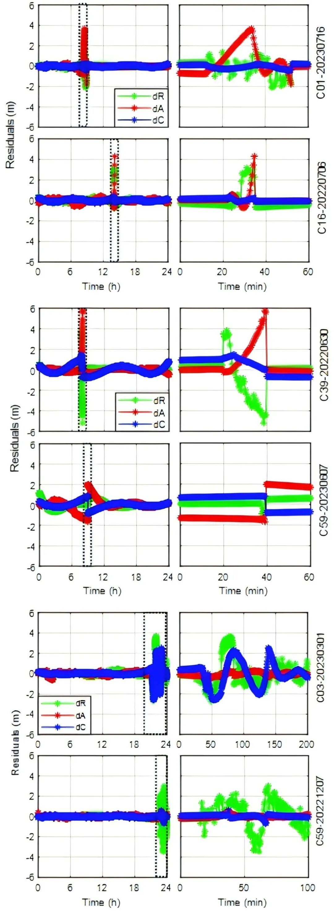
为验证推力模型,对机动期间的几何轨道和整个机动日的拼接轨道分别进行短弧/长弧拟合并统计拟合精度。对于标准机动,几何轨道的短弧拟合残差RMS可保持切向和法向厘米级,径向分米级水平;即使在极端的GEO面外机动情况下,所有方向拟合精度均可达到分米级。长弧拟合情况下,所有机动案例24小时轨道拟合残差RMS均在分米级;机动期间,各方向的残差RMS小于3米。

图4 短弧拟合残差

图5 机动拟合残差
总结与展望
本文实现了对北斗卫星的自动化机动探测,并提出了两种不同的推力模型,以应对不同的机动特性。对于北斗二号和北斗三号的GEO面外机动,建立了一种分段线性模型;对于北斗三号,建立了一种三角形脉冲模型。实验结果表明,对于所有机动,几何轨道的短弧拟合和长弧拟合精度都能达到各方向分米级水平。本研究提出的自动化机动探测与推力建模方法,有助于解决机动期间的轨道中断问题,为实现机动期间北斗卫星的快速轨道恢复提供了解决方案,从而保障北斗独特功能的服务连续性。
论文信息
Qiao, J., Xu, H. & Li, B.Automatic orbital maneuver detection and thrust model establishment for Beidou GEO/IGSOsatellites. GPS Solut 30, 80 (2026).https://doi.org/10.1007/s10291-026-02045-5